728x90
반응형

괜찮은 카페 찾다가 우연히 들르게 된 카페 ‘산’. 국내에 이렇게 패러글라이딩 하는 곳이 모여있는 장소가 있는지 몰랐다.

패러글라이딩을 직접 하지 않더라도 커피 한잔 하면서 멋진 풍경을 감상할 수 있다.

보통 이런 카페는 커피가 맛이 없기 마련인데 여기는 정말 맛있는 커피를 맛볼 수 있었다. 크림 카푸치노 정말 강추한다. 맛이 서울의 수많은 맛집 카페에 뒤지지 않는다. 작은 디저트들도 수준급. 거기에 황홀한 풍경을 더하니 더할나위 없다.

단지 카페까지 가는 길이 좀 구불구불하고 험난하다.

반응형
728x90
반응형

요즘 ESG 등급이 투자에도 영향을 많이 미치고 있다고 한다. JW생명과학은 등급이 그다지 좋지 않은 것을 알 수 있다. 이 것은 주가 흐름에 큰 장벽으로 다가올지 알 수 없는 노릇이다...

투자중인 기업의 ESG 등급이 궁금하시다면 아래 사이트에서 확인하시면 됩니다.
http://www.cgs.or.kr/business/esg_tab04.jsp#ui_contents

KCGS 한국기업지배구조원

등급 조회 * 이용자는 한국기업지배구조원의 사전승낙 없이 제공 평가등급 전체 또는 일부를 복제, 송신, 출판, 재배포하거나 기타 방법에 의하여 영리 목적으로 이용할 수 없으며, 상기 저작물

www.cgs.or.kr

반응형
728x90
반응형

몇 년 전 우연히 발견하게 된 수입 맥주집이다. 처음엔 지하 와인 창고나 중세시대 던전을 연상케 하는 독특한 분위기 때문에 방문하게 되었는데 맥주와 올리브 맛이 정말 훌륭해서 재차 가게 된 곳이다. 강력하게 추천한다. 시간이 된다면 한 번씩 방문해 보셨으면 하는 마음으로 글을 남긴다.

 


분위기

건물 입구에 들어서면 위 아래 층으로 연결된 계단이 보인다. 하지만 흔히 볼 수 있는 일반적인 빌딩의 계단이 아니다. 벽돌들을 쌓아 만든 형태를 하고 있는데, 수도원으로 들어가는 느낌을 살리기 위해 입구부터 신경을 쓴 것 같았다. 울퉁불퉁 튀어나온 벽돌로 둘러 쌓인 계단을 내려가고 있노라면 이탈리아 조토의 종탑 계단이 떠오른다. 아래로 내려갈수록 점점 어두워지는데 개인적으로는 이 세계가 아닌 다른 공간으로 이어질 것만 같다는 생각이 들었다. 가게의 입구 앞에 서면 이 가게가 꽤 어둡다는 것을 알 수 있다. 높이 솟은 아치형 천장 한가운데에 매달려 있는 흐릿한 샹들리에와 테이블마다 놓여있는 촛불들 만이 서로를 볼 수 있는 유일한 광원이다. 희미한 불빛들에 의지해 주변을 둘러보면 앤틱 한 분위기의 의자들과 나무 재질의 테이블들이 빈 공간을 채우고 있다는 것을 알 수 있다. 테이블에 둘러앉은 사람들은 어두운 조명 때문인지 로맨틱한 분위기에 취해서 인지 서로를 향해 몸을 기울이고 대화에 집중하고 있는 것을 볼 수 있다. 한쪽 벽은 일하시는 분들이 술과 안주를 준비할 수 있게 바 형태를 하고 있는데, 역시 화려하지 않을 정도의 조명과 필요한 만큼의 술들, 미려한 잔들이 공간마다 자리하고 있다.   

 

 

이 곳에 오면 시중에서 잘 구할 수 없는 맥주를 맛볼 수 있어서 좋다. 세계 각지의 수도원에서 만든 맥주를 판매하기 때문이다. 수도원에서 만든 맥주에 대해 잘 몰라 자세히 설명할 수 없지만 여기서 이제까지 마셔본 맥주들은 대부분 묵직하고 향이 깊었다. 필자는 묵직한 술들을 좋아하기 때문에 더할 나위 없이 행복했다. 게다가 맥주 하나하나 마다 그 색채가 뚜렷해서 메뉴를 고를 때마다 '이번에는 어떤 맛일까?' 하는 기대감을 갖게 된다. 맥주 말고도 칵테일이나 다양한 종류의 술이 있다. 글 마지막에 메뉴판을 첨부한다.

 

 

안주

사실 집에서 꽤 떨어진 거리에도 불구하고 이 곳 '수도원'을 틈만 나면 찾는 이유가 비단 맥주만은 아니다. 안주 또한 탁월하다. 이제까지 주로 '올리브와 햄' 혹은 '성찬 플레이트'를 주문했었는데 여기 올리브 맛은 정말 좋다. 씹는 질감과 너무 짜지 않은 간이 조화롭다. 치즈들 또한 절묘하게 밸런스를 맞추고 있어 내 입맛에 딱 맞았다. 빵과 비스킷의 고소한 향도 다른 안주들과 어우러졌다.  

성찬 플레이트

수도원은 서울에서 쉽게 찾아보기 힘든 독특한 분위기를 풍기는 곳이다. 약간은 이색적인 느낌이 필요할 때 연인이나 지인들과 방문하면 좋을 장소라고 생각한다.

 


https://place.map.kakao.com/27559253

 

수도원

서울 종로구 동숭3길 16 지하 1층 (동숭동 50-11)

place.map.kakao.com

 

 

https://thepowerofdirection.tistory.com/47

 

[남부터미널역 맛집] 메종조 - 기가막힌 수제 소시지

와인과 함께 곁들일 안주를 사기 위해 이곳을 방문하게 되었다. 메종 조는 프랑스식 빵, 샌드위치, 수프, 샤르퀴트리 등을 판매하는 작은 가게다. 가게 안에는 4인 테이블 세 개, 2인 테이블 하나

thepowerofdirection.tistory.com

 

반응형
728x90
반응형

뉴스나 리포트, JW생명과학의 사업보고서에 따르면 수액 사업의 매출은 노령인구와 관련이 깊다고 이야기한다. 그렇다면 인구 노령화에 따른 2030년까지 수액 산업의 성장성은 얼마나 될까?

 

  • 노령인구

아래 표는 통계청에서 발표한 숫자를 바탕으로 작성되었다.

 

2022년 65세 이상 노령인구는 약 902만명 으로 나타난다. 이는 2026년까지 매년 약 5.1-5.7% 씩 증가해 1,120만 명에 달할 것으로 보인다. 이후 증가세는 점차 둔화되어 2030년에는 3.65% 정도 늘어나 1306만 명 정도가 될 것으로 보인다. 2020년부터 2026년까지가 노인인구가 가장 빠르게 증가할 것으로 보인다.

 

 

  • JW생명과학의 매출 성장 및 주가 시나리오

매출을 대략적으로 예측하기 위해서 전제되어야 할 것들이 있다.

 

1. 입원일수는 코로나 이전 상태(2019년)인 1인당 2.91일로 고정한다. 고령화로 인해 매년 증가 추세이긴 하지만 보수적으로 접근하도록 하자.

https://thepowerofdirection.tistory.com/5?category=1041882 

 

JW생명과학 매출과 의료기관 방문 횟수와의 관계

내가 투자중인 종목중 가장 비중이 높은 종목이다. 하지만 가장 속을 썩히는 종목이기도 하다. 지난 2월 25일 감사 한정 꼬리표를 떼어내고 다시 그 전의 주가로 빠르게 회복하나 했지만 역시 시

thepowerofdirection.tistory.com

 

2. JW생명과학이 수액제조 라인을 수요에 맞게 증설해야 한다.

3. 시장 지배력은 동일하다.

 

그럼 내 마음대로 주가 예측 들어갑니다!

 

예상 시나리오 1 (보수적으로 잡은 추정치)

*단위 백만 (국내매출, 수출, 총 매출, 당기수익), 단위 원 (EPS, 주가, 배당금)

*JW생명과학의 매출은 아주 단순하다. 국내매출(TPN포함) + TPN 수출 이다.

*노령인구의 증가율을 그대로 반영한다고 가정한다.

*TPN 수출은 매년 20% 씩 증가한다고 가정한다. 박스터가 말하는 10년 1조 (매년 1천억원)에도 한참 못미치고, 올해 목표로 하는 140억에도 미치지 못하는 숫자다. 아주? 보수적으로 잡은 숫자다.

*주식수의 변동은 없다.

*매출대비 당기순익률 12% 적용

*배당성향 40%

*최근 PER은 14-19 사이를 오갔는데 보수적으로 14를 적용한다.

 

 

예상 시나리오 2 (최대로 잡은 추정치)

*단위 백만 (국내매출, 수출, 총 매출, 당기수익), 단위 원 (EPS, 주가, 배당금)

*노령인구의 증가율을 그대로 반영한다고 가정한다.

*TPN 수출은 매년 30% 씩 증가한다고 가정한다. 박스터가 말하는 10년 1조 (매년 1천억원)에도 한참 못미치고, 올해 목표로 하는 140억에도 미치지 못하는 숫자다. 나름 보수적으로 잡은 숫자다.

*주식수의 변동은 없다.

*매출대비 당기순익률 12% 적용

*배당성향 40%

*최근 PER은 14-19 사이를 오갔는데 최대치인 19를 적용한다.


 

** 사실 이런 표를 만들어 봤자 그다지 맞지 않을 걸 잘 안다. 매출이 노령화 증가율 만큼 딱 맞춰 오를리가 없다. 증설한다고 유상증자를 할 수도 있고, TPN 수출도 저 정도로 늘지도 않을 가능성이 높고... 그냥 나름의 놀이?로 만들어보았다. 과연 예상대로 흘러갈까? 내년의 사업보고서가 벌써 기다려진다. 그리고 올해는 감사가 순조롭게 넘어가길... 난 왜 자발적으로 JW생명과학 주주가 되어 매년 마음졸여야 하는가? ㅜㅜ 빨리 배당이나 줘... 고기나 사먹게.

 

 

***혹시나 첨언 드리자면, 이거 보시고 주식 사는 분은 없으시길 바랍니다. 전 책임 못집니다. 투자는 개인의 의사결정이니까요! 

반응형
728x90
반응형

https://citrusshell.tistory.com/61

 

https://opendart.fss.or.kr/disclosureinfo/fnltt/dwld/main.do

 

전자공시 OPENDART 시스템 | 공시정보 활용마당 | 재무정보 일괄다운로드

「공시정보 활용마당」 이용시 주의사항 「공시정보 활용마당」화면에서 제공하는 모든 정보는 공시의무자(제출인)의 책임하에 작성된 공시자료 일부를 제공하는 것으로 금융감독원은 정보의

opendart.fss.or.kr

 

반응형
728x90
반응형

구글 스프레드시트로 기업의 각 연도별 매출액 등을 정리하다가 문득 이런 생각이 들었다.

"매출액의 트렌드를 한눈에 보기 쉽게 차트로 나타낼 수 없을까?"

그렇게 검색하다가 sparkline 함수를 알게 되었고 거창하게 그래프를 따로 만들지 않더라도 한눈에 증감 추세를 나타낼 수 있었다.

 

 

=sparkline(B2,{"charttype","bar";"max",200000000000;"color1","0080df";"empty","zero";"nan","convert"})

 

 

 

함수를 복사해서 붙여넣고 1번과 2번 부분만 바꿔주면 간단하게 사용할 수 있다.

 

1. 막대그래프가 나타낼 수치가 들어간 셀 넘버. (매출액 숫자 셀)

2. 그래프가 표시할 최대값 

 

만약 그래프의 색상을 바꾸고 싶다면 3번 칸을 바꿔주면 된다.

기본적으로 "black", "red", "blue", "green", "yellow" 등을 사용할 수 있다.

세부적으로 색상을 바꾸고 싶다면 포토샵등에서 볼 수 있는 웹 색상 슬라이더에서 볼 수 있는 색상번호를 입력하면 된다. 아래와 같이 RGB 값이 99, 24, cc 순으로 나왔다면 "9924cc" 를 입력하면 된다.

 

반응형
728x90
반응형

JW바이오사이언스가 개발중인 진단키트는 WRS(Tryptophanyl tRNA synthetase, 트립토파닐 티알앤에이 합성효소) 바이오마커를 이용하고 있습니다. JW바이오사이언스 홈페이지에서는 아래와 같이 설명하고 있습니다.

 

JW바이오사이언스 홈페이지

관련 내용을 조사하다가 2020년 8월, ScienceDirect (세계 최대의 온라인 저널 원문 데이터베이스)에 올라온 글이 있어 링크를 첨부합니다. JW바이오사이언스에서 제조된 키트: WRS ELISA kit (catalog No. JWBS-R001)를 이용해 WRS의 효용에 대해 연구한 논문입니다. 영어로 되어 있는데다가 길고 어려운 내용이라 간략하게 정리해 보았습니다. 

 

https://www.sciencedirect.com/science/article/pii/S1201971220304124

 

Clinical value of full-length tryptophanyl-tRNA synthetase for sepsis detection in critically ill patients — A retrospective c

Related innate immune system activation and diagnostic factors of sepsis are not fully understood. The aim of this study was to analyze the clinical v…

www.sciencedirect.com

 

 

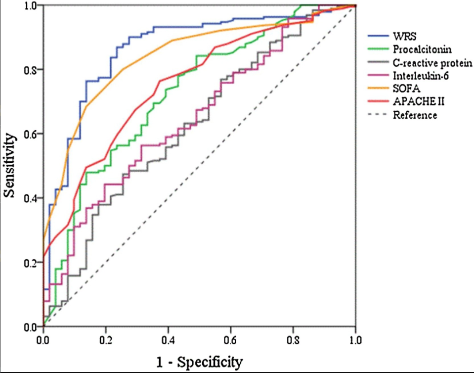
1. 패혈증 진단 능력

아래 그래프에서 보듯이 WRS는 기존 패혈증 진단에 쓰였던 CRP, IL-6, PCT 바이오마커들이나 SOFA, APACHE II 점수표에 비해 상당히 정확하게 패혈증을 판별하는 것을 볼 수 있다. (왼쪽 위에 붙어있을 수록 정확도가 높다.)

 

 

2. 28일 전체 치사율(28-day overall mortality) 예측

28일 전체 치사율 예측에 있어서도 SOFA 점수에 뒤처지지 않는다.

아래는 Discussion 부분입니다.

 

CRP, IL-6

기존에 패혈증 바이오마커로 여겨졌던 CRP 와 IL-6 는 그 능력이 의심받고 있다. 게다가 최근의 연구에서는 CRP와 IL-6 수치에 따른 패혈증 판별력이 다른 변수들보다 낮다고 한다. 최근 연구자들은 패혈증진단을 위한 다른 인자들을 찾고 있다. (IL-27, presepsin, angiopoietin-1, high mobility group box 1) 그럼에도 불구하고 패혈증 검사의 기준을 정하는 것은 쉽지 않다.

 

PCT

감염이나 부상으로 인해 방출되며 높은 확률로 패혈증을 진단할 수 있는 마커로서 광범위하게 사용되어 왔다. 세균감염에 대한 구별이 가능했지만 PCT level은 곰팡이성이나 바이러스성 감염에 대해서는 구별능력이 없었다. 게다가 몇몇 연구에서는 패혈증 관련 예후를 잘 예측하지 못했다. 현재 연구에서 PCT의 패혈증 판별력은 다른 변수보다 높은 것으로 나타났으나 28일 전체 사망률에 대해서는 그렇지 못했다. 

 

SOFA score (병에 걸리는 확율을 예측 할 수 있는 점수체계. 장기기능을 평가하고 경과를 감시하는데 간편하고 효과적임)

SOFA 점수는 패혈증 환자의 치사율을 예측하는데 도움이 되고있다. 하지만 패혈증 환자를 식별하기에는 문제가 있다. SOFA 점수는 사망률과 관련해 장기 손상 정도를 나타내 주지만 그 원인이 감염인지에 대한 판별력을 가지는 것에는 부적합하다. 게다가 여러 실험실 결과가 필요하므로 진단 및 치료가 지연될 위험이 있다.

 

WRS

WRS는 이전 연구에서 감염 후 1 시간 이내에 세포외 공간에서 즉시 방출되어 검출되는 것으로 밝혀졌다. WRS는 바이러스 감염 초기 단계에서 선천성 면역 반응의 일부를 형성한다. 또한 박테리아, 곰팡이, 바이러스를 포함한 다양한 감염성 병원체에 의해 분비 될 수 있다. 이번 연구에서 WRS가 다른 패혈증 예측인자 보다 더 나은 AUROC 값(첫 번째 그래프)을 보여주었다. WRS 수준이 패혈증으로 인한 사망률과 관련이 있는 이유가 명확하지 않았다. 따라서 WRS 수치가 사망률 예측에 유용한지 새로운 치료 표적으로 사용 될 수 있는 지에 대한 추가 연구가 필요하다.

 

WRS의 연구결과는 WRS가 다른 패혈증 관련 변수들에 비해 높은 판별력을 가지고 있다는 것을 보여준다. 또한 중환자실 환자의 28일 전체 치사율과도 관련이 있다고 보여진다. 따라서 WRS 수치는 패혈증에 대한 새롭고 강력한 진단 마커가 될 수 있으며 높은 WRS 수치를 활용하여 패혈증 중환자의 예후를 예측 할 수 있다고 생각한다.

 

연구의 한계

1. 하나의 병원에서 적은 샘플 사이즈(18세 이상 340명)로 연구되었기 때문에 일반화하기에는 부족하다는 점. 그래서 여러 병원에서 연구가 필요하다는 점.

2. 채혈과 분석 간의 시차가 있었다는 점. (시간이 지나면 단백질이 분해됨)

3. ICU(중환자실) 입원당시 WRS 수준을 한 번만 조사했기 때문에 WRS의 연속적 결과를 분석할 수 없었다는 점.

 

 

맺음

WRS는 감염성 자극으로 분비되는 바이오마커로 조기 패혈증 진단에 도움이 된다. 게다가 WRS는 치명적인 질병인 패혈증 환자의 치명률을 조기에 가늠할 수 있는 지표로 여겨질 수 있다. 다만 SOFA(Sequential Organ Failure Assessment)점수 보다 더 낫지는 않다. 이 연구는 패혈증과 패혈증에서의 치사율을 예측하기위한 WRS의 가치에 대한 연구연구로써 가치있다고 할 수 있다. 나아가 추가적인 임상이 필요하다.

 

 

 

JW바이오사이언스가 임상 진행중이라고 하는데 좋은 결과가 나왔으면 좋겠습니다. 그리고 논문이 2020년 8월이니까 이미 진단키트 개발은 끝난 것 같은데 올해 안에 허가도 났으면 좋겠네요. 관계자분의 이야기 대로 새로운 기술이라 식약처에서도 그 기준을 마련하기 쉽지 않아 보이네요. 여튼 주주의 입장에서도 그렇지만 패혈증으로 고통받고 계실 많은 환자분들을 위해서도 진단키트가 하루빨리 세상에 나오길 소망해 봅니다.

 

 

반응형
728x90
반응형

패혈증에 관해 검색하다보니 근 10년간 많은 회사들이 패혈증을 연구하고 극복하려고 했던 것들을 알 수 있었다. 치명률도 높은데다가 정확하고 민감하게 패혈증의 유무를 구별할 수 있는 바이오마커가 없어서 인 것 같았다. 예를들면 패혈증에 민감하게 반응하는 A라는 바이오마커가 있다면 그 A는 장기 손상이나 다른류의 이상징후등이 나타났을 때에도 분비되는 물질인 것이다. 그래서 A 하나만 가지고 패혈증을 진단하기는 힘들고 다른 바이오마커 B, C 등과 함께 진단을 해야 한단다. 하지만 이 마저도 검사속도가 아주 느려서 환자가 제때 치료를 받지 못하거나 광범위한 약물 투여로 고생을 해야 하는등의 문제가 많다고 한다. 이러한 상황을 벗어나고자 세계적으로 수많은 시도들이 있었는데 아직 상용화가 안됐거나 기술적으로 미흡한 것 같았다. 빨리 훌륭한 기술이 개발되어 수 많은 환자들의 생명을 구해주길 기도해본다.

 

 

 

반응형

+ Recent posts